FIGURE SUMMARY
Title

Evaluating TnP as a Potential Therapeutic Agent for Retinopathy in Zebrafish Models

Authors
Rosa, J.G.S., Bernardo, J.T.G., Álvarez, Y., Kennedy, B., Lima, C., Lopes-Ferreira, M.
Source
Full text @ Pharmaceuticals (Basel)

Retinopathy in zebrafish larvae. Retinopathy was induced in 3 dpf larvae through exposure to E2 0.5x medium at 28 °C with 0.5 mM cobalt chloride (CoCl2) for 72 h (A). Independent group of 3 dpf larvae was exposed to intense light at 8000 lux for 24 h (LIRD) (B). Larvae maintained at 28 °C in E2 0.5x medium only and under natural light were considered negative controls. Immediately after stimulation, all groups of larvae were evaluated for their visual–motor response (C,D) and distance traveled (E) and were subsequently killed and processed for histological analysis and H&E staining (F). * p < 0.05 compared to control group. Bars represent mean ± SEM. Dots represent individual data points. RGL: retinal ganglion layer; IPL: inner plexiform layer; INL: inner nuclear layer; OPL: outer plexiform layer; ONL: outer plexiform layer; OSL: outer segment layer; RPE: retinal pigment epithelium.

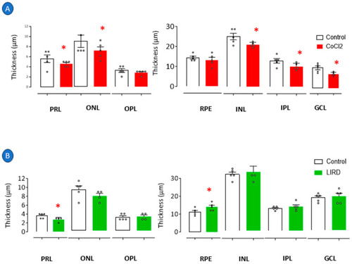
Histologic analysis of retinopathy in zebrafish larvae. Retinopathy was induced in 3 dpf larvae through exposure to E2 0.5x medium at 28 °C with 0.5 mM cobalt chloride (CoCl2) for 72 h. Independent group of 3 dpf larvae was exposed to intense light at 8000 lux for 24 h (LIRD). Retinal layer thickness of CoCl2-exposed zebrafish larvae (A) and zebrafish larvae subjected to LIRD (B). * p < 0.05 compared to control group. Bars represent mean ± SEM. Dots represent individual data points. PRL: photoreceptor layer; ONL: outer nuclear layer; OPL: outer plexiform layer; RPE: retinal pigment epithelium; INL: inner nuclear layer; IPL: inner plexiform layer; GCL: ganglion cell layer.

Prophylactic treatment with TnP. Retinopathy was induced in 3 dpf larvae through exposure to E2 0.5x medium at 28 °C with 0.5 mM cobalt chloride (CoCl2) for 72 h, and one group was chosen to be prophylactically treated with 100 µM TnP for same period (A). Independent group of 3 dpf larvae was exposed to intense light at 8000 lux for 24 h (LIRD), and one group was chosen to be prophylactically treated with 100 µM TnP for same period (B). Immediately after stimulation, all groups of larvae were evaluated for their visual–motor response (C,D) and distance traveled (E) and were subsequently killed and processed for histological analysis and H&E staining (F). * p < 0.05 compared to control group. Bars represent mean ± SEM. Dots represent individual data points. RGL: retinal ganglion layer; IPL: inner plexiform layer; INL: inner nuclear layer; OPL: outer plexiform layer; ONL: outer plexiform layer; OSL: outer segment layer; RPE: retinal pigment epithelium.

Histologic analysis of retinopathy and prophylactic treatment with TnP. Retinopathy was induced in 3 dpf larvae through exposure to E2 0.5x medium at 28 °C with 0.5 mM cobalt chloride (CoCl2) for 72 h, and one group was prophylactically treated with 100 µM TnP for same period. Independent group of 3 dpf larvae was exposed to intense light at 8000 lux for 24 h (LIRD), and one group was prophylactically treated with 100 µM TnP for same period. Retinal layer thickness of CoCl2-exposed zebrafish larvae (A) and zebrafish larvae subjected to LIRD (B). * p < 0.05 compared to control group. # p < 0.05 compared to disease group. Bars represent mean ± SEM. Dots represent individual data points. PRL: photoreceptor layer; ONL: outer nuclear layer; OPL: outer plexiform layer; RPE: retinal pigment epithelium; INL: inner nuclear layer; IPL: inner plexiform layer; GCL: ganglion cell layer.

TnP’s per se effects. We prophylactically treated 3 dpf larvae with 100 µM TnP for 72 h (A). Larvae maintained at 28 °C in E2 0.5x medium only and under natural light were considered negative controls. Immediately after experimental period, all groups of larvae were evaluated for their visual–motor response (B) and distance traveled (C) and were subsequently killed and processed for histological analysis and H&E staining (D). Retinal layer thickness of zebrafish larvae (E). * p < 0.05 compared to control group. Bars represent mean ± SEM. Dots represent individual data points. RGL: retinal ganglion layer; IPL: inner plexiform layer; INL: inner nuclear layer; OPL: outer plexiform layer; ONL: outer plexiform layer; OSL: outer segment layer; RPE: retinal pigment epithelium; PRL: photoreceptor layer; GCL: ganglion cell layer.

Antiangiogenic activity of TnP. Fluorescence images of intersegmental vessels in 0.15% DMSO vehicle control group, 10 µM sunitinib-exposed group (SU 10), and 100 µM TnP-treated group (TnP). Missing and incomplete vessels were evident in 10 µM sunitinib-exposed group (SU 10) and 100 µM TnP-treated group (TnP).

Antiangiogenic activity of TnP. (A) Tg(fli1:EGFP) zebrafish larvae (20 hpf) were dechorionated and sorted into 3 groups subjected to distinct treatments for 24 h: the 0.15% DMSO vehicle control group, 10 µM sunitinib-exposed group (SU 10), and 100 µM TnP-treated group (TnP). (B) The number of intersegmental vessels (ISVs). ** = p = 0.0011, **** = p < 0.0001, compared to the control group.

Acknowledgments
This image is the copyrighted work of the attributed author or publisher, and ZFIN has permission only to display this image to its users. Additional permissions should be obtained from the applicable author or publisher of the image. Full text @ Pharmaceuticals (Basel)