FIGURE SUMMARY
Title

Inner Amino Acid Contacts Are Key Factors of Multistage Structural Rearrangements of DNA and Affect Substrate Specificity of Apurinic/Apyrimidinic Endonuclease APE1

Authors
Bulygin, A.A., Syryamina, V.N., Kuznetsova, A.A., Novopashina, D.S., Dzuba, S.A., Kuznetsov, N.A.
Source
Full text @ Int. J. Mol. Sci.

(A) Superposition of models of zAPE1 complex with DNA containing an F-site (gold), DHU (blue), εA (green), or αA (magenta). (B) Close-up view of amino acid residues responsible for flexibility of the damage recognition loop. Residues chosen for substitution are highlighted in green.

(A) Kinetic curves of product accumulation in the course of F-substrate cleavage by the WT zAPE1 enzyme or by its mutants under steady-state conditions at [E] = 0.04 μM and [S] = 1.0 μM. (B) A comparison of observed rate constants (mean ± SD, s−1) of the AP endonuclease reaction of the zAPE1 enzymes.

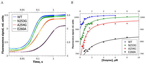
(A) Kinetic curves of FRET signal changes in the course of interaction of zAPE1 enzymes with the F-substrate under single-turnover conditions at [E] = 2.0 µM and [S] = 1.0 µM. (B) MST titration of F-site–containing DNA by zAPE1 enzymes.

Changes in the FRET signal during the interaction of zAPE1 N253G (A), A254G (B), or E260A (C) enzyme with the F-substrate. [S] = 1.0 µM, enzyme concentrations are shown in the panels. Theoretical curves (smooth traces) were obtained by the global fitting procedure in the DynaFit 4 software.

(A) Product accumulation kinetic curves of DHU-substrate cleavage by WT zAPE1 and its mutants under steady-state conditions at [E] = 0.2 μM and [S] = 1.0 μM. (B) A comparison of observed rate constants (mean ± SD, s−1) of the AP endonuclease reaction of zAPE1 enzymes.

Kinetic curves of product accumulation in the course of cleavage of NIR substrates by zAPE1 E260A under steady-state conditions. [E] = 2.0 μM, [S] = 1.0 μM.

Polyacrylamide gel electrophoresis (PAGE) analysis of product accumulation under the action of zAPE1 enzymes after 40 s for the DHU-substrate (A), 10 min for the dU-substrate (B), 60 min for the αA-substrate (C), and 30 min for the εA-substrate (D). [E] = 2.0 μM, [S] = 1.0 μM. Lane “Contr.” denotes DNA substrate mobility without the enzyme treatment.

Polyacrylamide gel electrophoresis (PAGE) analysis of product accumulation under the action of zAPE1 enzymes after 40 s for the DHU-substrate (A), 10 min for the dU-substrate (B), 60 min for the αA-substrate (C), and 30 min for the εA-substrate (D). [E] = 2.0 μM, [S] = 1.0 μM. Lane “Contr.” denotes DNA substrate mobility without the enzyme treatment.

Efficiency of NIR substrate cleavage by zAPE1 mutants under selected conditions. In this case, the whiskers define the interval in which the results of different repetitions of the experiment lie.

Changes of the FRET signal during the interaction of zAPE1 enzymes with undamaged DNA (A) or damaged DNA containing DHU (B), dU (C), αA (D), or εA (E). [E] = 2.0 μM, [S] = 1.0 μM.

(A) Normalized three-pulse DEER time traces (circles, noisy lines) and their best fits (smooth lines) obtained by multi-Gaussian Monte Carlo simulations. The curves are shifted upwards for clarity. (B) The distance distribution functions P(r) derived for DNA duplexes without zAPE1 (blue curves) and with zAPE1 (red curves). The asterisks mark artefact peaks near 2.8 nm (see the main text).

Acknowledgments
This image is the copyrighted work of the attributed author or publisher, and ZFIN has permission only to display this image to its users. Additional permissions should be obtained from the applicable author or publisher of the image. Full text @ Int. J. Mol. Sci.