FIGURE SUMMARY
Title

3D-Printed PLA Medical Devices: Physicochemical Changes and Biological Response after Sterilisation Treatments

Authors
Pérez-Davila, S., González-Rodríguez, L., Lama, R., López-Álvarez, M., Oliveira, A.L., Serra, J., Novoa, B., Figueras, A., González, P.
Source
Full text @ Polymers (Basel)

Software images showing the design of the PLA discs and the well-shaped samples.

XPS high resolution spectra for C1s of printed PLA control (PLAC) and PLA sterilised with saturated steam (PLASS).

FTIR spectra of the PLA discs subjected to the different sterilisation treatments with absorption bands identified: PLAGR, PLASCCO, PLALTSF, PLASS and PLAHPGP together with the untreated PLA disc as control, PLAC. Amplification of the 400–2000 cm−1 wavenumber range in the inset with the two main peaks identified.

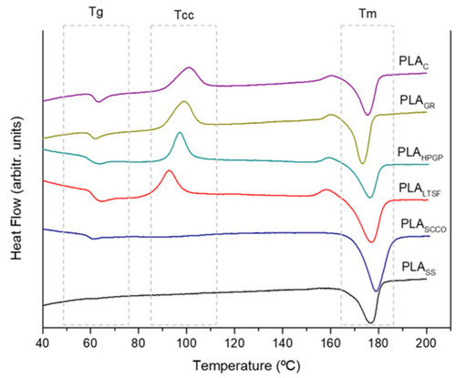
DSC thermograms for PLA discs subjected to the different sterilisation treatments: PLAGR, PLASCCO, PLALTSF, PLASS and PLAHPGP together with the untreated PLA disc as control, PLAC.

XRD diffraction pattern of untreated PLASS with the identification of the characteristic peaks and PLAC, and PLAGR diffraction pattern at the inset.

Modulus and hardness of PLA discs subjected to the different sterilisation treatments: PLAGR, PLASCCO, PLALTSF, PLASS and PLAHPGP together with the untreated PLA disc as control, PLAC. Results are presented as mean ± standard deviation.

Water contact angle for PLA discs subjected to the different sterilisation treatments: PLAGR, PLASCCO, PLALTSF, PLASS and PLAHPGP together with the untreated PLA disc as control, PLAC. Results are represented as mean ± standard deviation.

Cell viability detected in mouse fibroblast cells (NCTC clone 929) in the presence of different extracts of PLAGR, PLASCCO, PLALTSF, PLAHPGP and PLASS discs, compared to the positive control (phenol) and negative control (DMEM). Results are expressed as percentage compared to the negative control ± standard error. Statistical significance was determined to * (p ≤ 0.05).

Image of 3D-printed PLA well samples before (untreated control C) and after five sterilisation processes: (GR) gamma radiation, (HPGP) hydrogen peroxide gas plasma, (LTSF) low temperature steam formaldehyde, (SCCO) supercritical CO2 and (SS) saturated steam.

Viable embryos (%) after 24 h after exposure to PLAGR, PLASS and PLAC (A); hatching rate (%) at 24, 48 and 72 hpf (B); survival rate of larvae after 7 dpf (days post-fecundation) (C); larvae at 3 dpf on the PLAC (above) and PLASS (below) well samples (D). Results are represented as the mean ± standard error.

(AC): Images of normal body shape morphology of 72 hpf larvae after exposure to PLAC, PLAGR and PLASS. Body length, yolk sac diameter and heart rate of 72 hpf larvae after exposure to PLAC, PLAGR and PLASS. Results are represented as the mean ± standard error.

Acknowledgments
This image is the copyrighted work of the attributed author or publisher, and ZFIN has permission only to display this image to its users. Additional permissions should be obtained from the applicable author or publisher of the image. Full text @ Polymers (Basel)