IMAGE

Figure 4

ID
ZDB-IMAGE-221020-100
Source
Figures for Pérez-Davila et al., 2022
Image
Figure Caption

Figure 4

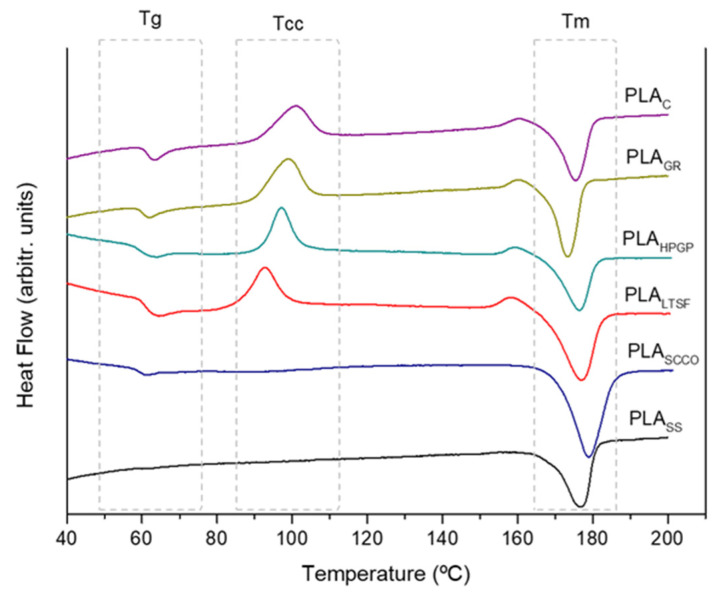
DSC thermograms for PLA discs subjected to the different sterilisation treatments: PLAGR, PLASCCO, PLALTSF, PLASS and PLAHPGP together with the untreated PLA disc as control, PLAC.

Acknowledgments
This image is the copyrighted work of the attributed author or publisher, and ZFIN has permission only to display this image to its users. Additional permissions should be obtained from the applicable author or publisher of the image. Full text @ Polymers (Basel)