FIGURE
Figure 2
- ID
- ZDB-FIG-250830-63
- Publication
- Leonardos et al., 2025 - The Developmental Toxicity of Haloperidol on Zebrafish (Danio rerio) Embryos
- Other Figures
- All Figure Page
- Back to All Figure Page
Figure 2
|
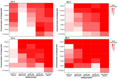
Heatmap of various malformations exposed to various concentrations of haloperidol up to 96 h of exposure. |
Expression Data
Expression Detail
Antibody Labeling
Phenotype Data
Phenotype Detail
Acknowledgments
This image is the copyrighted work of the attributed author or publisher, and
ZFIN has permission only to display this image to its users.
Additional permissions should be obtained from the applicable author or publisher of the image.
Full text @ Biomedicines