IMAGE

Figure 2

ID
ZDB-IMAGE-250830-64
Source
Figures for Leonardos et al., 2025
Image
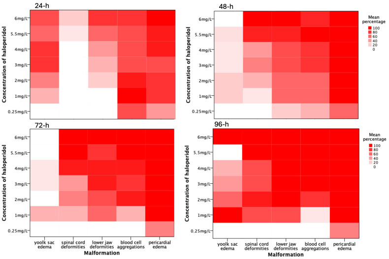
Figure Caption

Figure 2

Heatmap of various malformations exposed to various concentrations of haloperidol up to 96 h of exposure.

Acknowledgments
This image is the copyrighted work of the attributed author or publisher, and ZFIN has permission only to display this image to its users. Additional permissions should be obtained from the applicable author or publisher of the image. Full text @ Biomedicines