FIGURE SUMMARY
Title

Multi-population GWAS for venous thromboembolism identifies novel loci followed by experimental validation in zebrafish

Authors
Wolford, B.N., Zhao, Q.Y., Wu, K.H., Yu, X., Richter, C.E., Bhatta, L., Brumpton, B.M., Desch, K.C., Thibord, F., Klarin, D., Johnson, A.D., Tregouet, D.A., Damrauer, S.M., Smith, N.L., Lo Faro, V., Tsuo, K., Daly, M., Neale, B., Zhou, W., Willer, C.J., Shavit, J.A., Surakka, I.
Source
Full text @ Blood Adv

Schematic view of genes. Of the 38 genome-wide significant loci, 4 are potentially novel, and 34 are known from previous GWASs. Of the potentially novel genes, 2 have supportive evidence from recent GWAS meta-analyses.38,39 Six of the previously known genes were functionally validated in this study using a zebrafish model of blood clotting with 3 genes showing supportive evidence (significant validation) as the causal gene for modification of VTE in humans.

Integrative gene prioritization. Autosomal genome-wide significant loci labeled by prioritized gene (x-axis) with shading for each line of evidence used in the bioinformatics-driven prioritization scheme (y-axis). Genes in bold were on the gold standard list (supplemental Table 7). The 7 lines of evidence evaluated were chosen to cover different mechanisms through which genetic variants contribute to disease risk, for example, regulatory changes vs protein perturbations. For VPS13D;DHRS3, F7;F10, and LINC02375;LINC02411, the genes had equal numbers of supporting lines of evidence. LINC00656 is also known as RP4-737E23.2. rs536995174 had 1 line of evidence each for SERPING1, SLC43A3, SLC43A1, F2, OR5AK4P, and LRRC55 and was excluded from this visualization. Genes with asterisks were selected for follow-up in a functional assay in zebrafish (Figure 3).

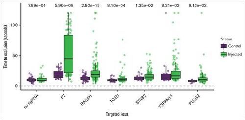
Functional evidence for causal genes in genetically modified zebrafish.P values from Wilcoxon rank sum tests are listed at the top. The y-axis represents the experimental TTO for control and sgRNA-injected zebrafish embryos with the x-axis showing the genes targeted through CRISPR. Injections made without sgRNA served as a negative control. Factor 7 (F7) served as a positive control.

Acknowledgments
This image is the copyrighted work of the attributed author or publisher, and ZFIN has permission only to display this image to its users. Additional permissions should be obtained from the applicable author or publisher of the image. Full text @ Blood Adv