FIGURE SUMMARY
Title

A Zebrafish Embryo Model to Screen Potential Therapeutic Compounds in Sapindaceae Poisoning

Authors
Wouters, C.P., Klein, B., Price, N., Boemer, F., Voz, M.L., Votion, D.M.
Source
Full text @ Molecules

Lethality and sub-lethal effects of zebrafish embryos exposed to various concentrations of A. pseudoplatanus toxins, hypoglycin A, and methelynecyclopropylacetate over 72 h. The experiment was conducted to determine the median lethal (LC50) and median sub-lethal (EC50) concentration for hypoglycin A (A) and methelynecyclopropylacetate (B) at 24, 48, and 72 h post-exposure. Data were obtained from three independent replicates with 20 embryos per concentration per replicate. The LC50 and EC50 values were calculated using a four-parameter log-logistic model implemented with the drc R package, along with the associated standard error and the p-value. The sample size was 60 individuals per concentration (3 trials × 20 individuals), and the statistical test was a logistic regression with four parameters.

Time course of HGA and MCPA–carnitine concentrations in zebrafish larvae (24 hpf) after intoxication with HGA and MCPA. Hypoglycin A (μmol/L) and MCPA–carnitine (nmol/L) concentrations in the zebrafish larvae whole body after intoxication with hypoglycin A in (A,B), respectively, after MCPA exposure in (C,D), respectively. Hypoglycin A (μmol/L) and MCPA–carnitine (nmol/L) concentrations in the E3 medium surrounding the zebrafish larvae after intoxication with HGA in (E,F), respectively. The sample size was 20 individuals per concentration (1 trial × 20 individuals). HGA: hypoglycin A; MCPA: methylenecyclopropylacetate.

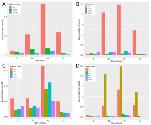
Time course of acylcarnitines concentrations in the whole body of zebrafish larvae after exposure with 100 μM of hypoglycin A. Concentrations of four-carbon chain length in (A), five-carbon chain length acylcarnitines in (B), even-numbered acylcarnitines in (C) and short- and medium chain acylcarnitines in (D). The sample size was 20 individuals per concentration (1 trial × 20 individuals). DC: dicarboxylic.

Total swimming distance in four-day post-fertilisation zebrafish larvae exposed to various concentrations of methylenecyclopropylacetate from 72 to 96 h post-fertilisation. The sample size was 12 individuals per concentration in (A,B) and 24 individuals per concentration in (C,D). (*: p < 0.05, ***: p < 0.001 according to one-way ANOVA and Dunnett’s post hoc test). MCPA: methylenecyclopropylacetate; Ctl+: 3,4-dichloroaniline.

Assessment of riboflavin, carnitine, and glycine co-treatment effects on the mortality of zebrafish larvae in the presence of MCPA (in (A)) or HGA (in (B)) after 72 h of exposure. The absolute number of larval deaths is indicated above each bar. MCPA: methylenecyclopropylacetate; HGA: hypoglycin A.

Acknowledgments
This image is the copyrighted work of the attributed author or publisher, and ZFIN has permission only to display this image to its users. Additional permissions should be obtained from the applicable author or publisher of the image. Full text @ Molecules