IMAGE

Figure 3

ID
ZDB-IMAGE-241028-205
Source
Figures for Wouters et al., 2024
Image
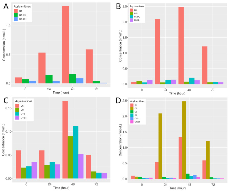
Figure Caption

Figure 3

Time course of acylcarnitines concentrations in the whole body of zebrafish larvae after exposure with 100 μM of hypoglycin A. Concentrations of four-carbon chain length in (A), five-carbon chain length acylcarnitines in (B), even-numbered acylcarnitines in (C) and short- and medium chain acylcarnitines in (D). The sample size was 20 individuals per concentration (1 trial × 20 individuals). DC: dicarboxylic.

Acknowledgments
This image is the copyrighted work of the attributed author or publisher, and ZFIN has permission only to display this image to its users. Additional permissions should be obtained from the applicable author or publisher of the image. Full text @ Molecules