IMAGE

Fig. 6

ID
ZDB-IMAGE-250417-6
Source
Figures for Zhang et al., 2024
Image
Figure Caption

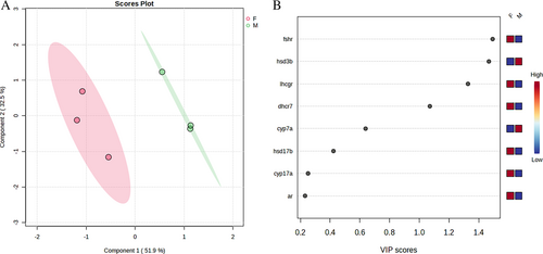
Fig. 6 Schematic representation of 2D PLS-DA scores plot and important features. (A) Gene expression features and concentrations from female and male (n = 3 per group per analysis) were normalized and assessed by partial least squares–discriminant analysis (PLSDA), 2D score plots were produced to separate feature differences between female and male zebrafish. (B) Variable importance of projection (VIP) scores indicate the most important features separating female and males after SPM exposure.

Acknowledgments
This image is the copyrighted work of the attributed author or publisher, and ZFIN has permission only to display this image to its users. Additional permissions should be obtained from the applicable author or publisher of the image. Full text @ Env. Tox.