IMAGE

Fig. 4

ID
ZDB-IMAGE-250324-11
Source
Figures for Kroll et al., 2025
Image
Figure Caption

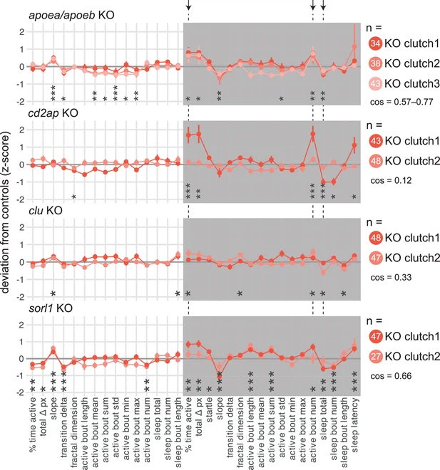
Fig. 4 F0 knockout larvae in genes associated with late-onset Alzheimer’s disease sleep less at night. For each gene: behavioural fingerprints of N = 2–3 clutches of F0 knockout larvae. Each dot represents the mean deviation from the same-clutch scrambled-injected mean for that parameter (z-score, mean ± SEM). Asterisks represent the p-values by likelihood-ratio test on linear mixed effects models calculated on the raw parameter values. cos, cosine similarities between fingerprints. Arrows and dashed lines mark the three parameters which are significant for all four late-onset Alzheimer’s risk genes tested.

Acknowledgments
This image is the copyrighted work of the attributed author or publisher, and ZFIN has permission only to display this image to its users. Additional permissions should be obtained from the applicable author or publisher of the image. Full text @ Elife