FIGURE

Figure 18

ID
ZDB-FIG-250228-27
Publication
Didloff et al., 2025 - Exploring Antimycobacterial Potential: Safety Evaluation and Active Compound Isolation from Gymnopilus junonius
Other Figures
All Figure Page
Back to All Figure Page
Figure 18

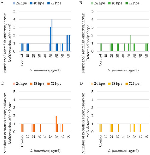
Assessment of teratogenic effects of G. junonius extract on zebrafish embryos/larvae development. (A) Number of zebrafish embryos/larvae displaying malformations of the tail; (B) deformed body shape; (C) malformation of the heart; and (D) yolk deformation after 24, 48, and 72 hpe.

Expression Data

Expression Detail
Antibody Labeling
Phenotype Data

Phenotype Detail
Acknowledgments
This image is the copyrighted work of the attributed author or publisher, and ZFIN has permission only to display this image to its users. Additional permissions should be obtained from the applicable author or publisher of the image. Full text @ Antibiotics (Basel)