FIGURE

Figure 7

ID
ZDB-FIG-220219-28
Publication
Papenfuss et al., 2022 - Differential maturation and chaperone dependence of the paralogous protein kinases DYRK1A and DYRK1B
Other Figures
All Figure Page
Back to All Figure Page
Figure 7

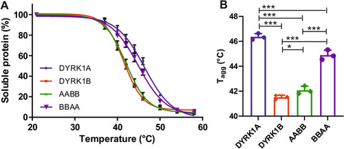
CETSA melt curves of wild type and chimeric DYRK1 constructs. Intact HEK293 cells with stable overexpression of the indicated HiBiT-tagged DYRK constructs were incubated for 3.5 min at variable temperatures. After freeze–thaw lysis, samples were centrifuged and the amount of DYRK constructs in the soluble fraction was measured using the HiBiT lytic assay. The graphs represent the means and SD of 3 independent experiments. (A) Curves were fitted to complete data sets for all temperatures, although some symbols and error bars are not shown in the graph. (B) The column diagram illustrates the Tagg values as determined by curve fitting.

Expression Data

Expression Detail
Antibody Labeling
Phenotype Data

Phenotype Detail
Acknowledgments
This image is the copyrighted work of the attributed author or publisher, and ZFIN has permission only to display this image to its users. Additional permissions should be obtained from the applicable author or publisher of the image. Full text @ Sci. Rep.