IMAGE

Fig. 1a

ID
ZDB-IMAGE-250828-31
Source
Figures for Wan et al., 2025
Image
Figure Caption

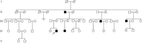
Fig. 1a Identification of a novel PRPS1 variant in human hearing loss. (a) Pedigree of a five-generation Chinese family with X-linked HL. Affected males are represented by filled squares, and affected females are represented by circles with center dots. Unaffected individuals are represented by open squares (males) and circles (females). The proband is indicated with a black arrow. Slant lines mark deceased individuals. (b) Audiograms of selected family members, showing air conduction thresholds. Blue “X” denotes the left ear, and red “O” denotes the right ear. (c) Sanger sequencing data from 21 participants showing the normal, hemizygous, and heterozygous PRPS1 variant carriers. (d) Crystal structure of human PRS-I (PDB: 2H06) and the predicted structure with the p.Cys165Tyr variant. (e) Conservation analysis of the cysteine residue at position 165 across species, estimated by T-Coffee.

Acknowledgments
This image is the copyrighted work of the attributed author or publisher, and ZFIN has permission only to display this image to its users. Additional permissions should be obtained from the applicable author or publisher of the image. Full text @ Hum. Mutat.