IMAGE

Figure 13

ID
ZDB-IMAGE-250816-30
Source
Figures for Li et al., 2025
Image
Figure Caption

Figure 13

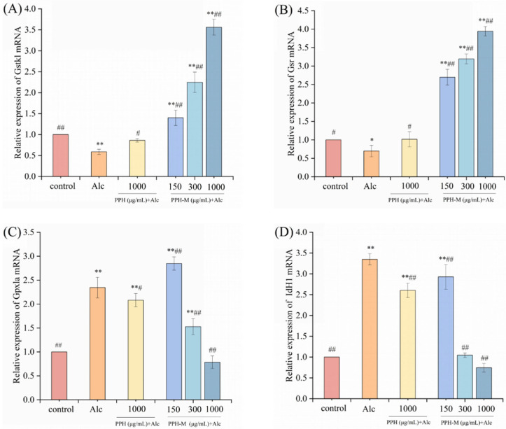
Effect of PPH-M on relative gene expression of the glutathione synthesis in zebrafish. (A) Gstk1, (B) Gsr, (C) Gpxla, and (D) IdH1. Compared with the control group, * represents significant differences (p < 0.05) and ** represents extremely significant differences (p < 0.01). Compared with the model group, # represents significant differences (p < 0.05) and ## represents extremely significant differences (p < 0.01).

Acknowledgments
This image is the copyrighted work of the attributed author or publisher, and ZFIN has permission only to display this image to its users. Additional permissions should be obtained from the applicable author or publisher of the image. Full text @ Nutrients