IMAGE

Figure 10

ID
ZDB-IMAGE-250816-27
Source
Figures for Li et al., 2025
Image
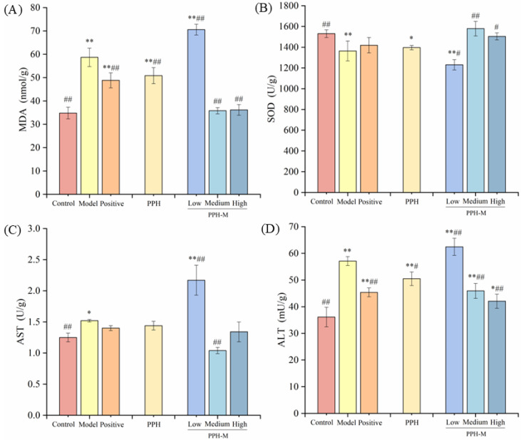
Figure Caption

Figure 10

Effects of PPH-M on (A) MDA, (B) SOD, (C) AST, and (D) ALT in zebrafish. The concentration of the low-dose group was 150 μg/mL, the medium-dose group was 300 μg/mL, and the high-dose group was 1000 μg/mL. The concentration of the PPH was 1000 μg/mL, and the GSH was 150 μg/mL. Compared with the control group, * represents significant differences (p < 0.05) and ** represents extremely significant differences (p < 0.01). Compared with the model group, # represents significant differences (p < 0.05) and ## represents extremely significant differences (p < 0.01).

Acknowledgments
This image is the copyrighted work of the attributed author or publisher, and ZFIN has permission only to display this image to its users. Additional permissions should be obtained from the applicable author or publisher of the image. Full text @ Nutrients