IMAGE

Figure 7

ID
ZDB-IMAGE-250816-18
Source
Figures for Li et al., 2025
Image
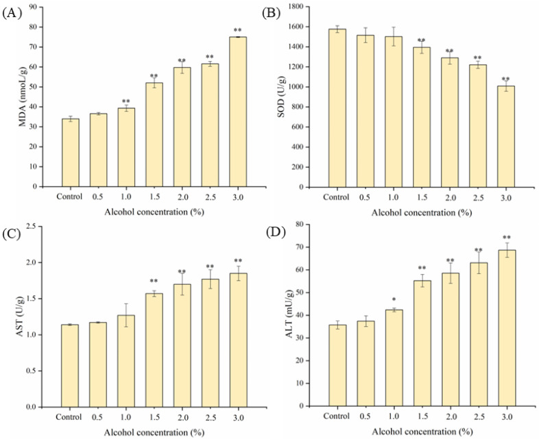
Figure Caption

Figure 7

Effects of alcohol concentration on (A) MDA, (B) SOD, (C) AST, and (D) ALT in zebrafish. Compared with control group, * represents significant differences (p < 0.05) and ** represents extremely significant differences (p < 0.01).

Acknowledgments
This image is the copyrighted work of the attributed author or publisher, and ZFIN has permission only to display this image to its users. Additional permissions should be obtained from the applicable author or publisher of the image. Full text @ Nutrients