IMAGE

Figure 9

ID
ZDB-IMAGE-250801-75
Source
Figures for Jing et al., 2025
Image
Figure Caption

Figure 9

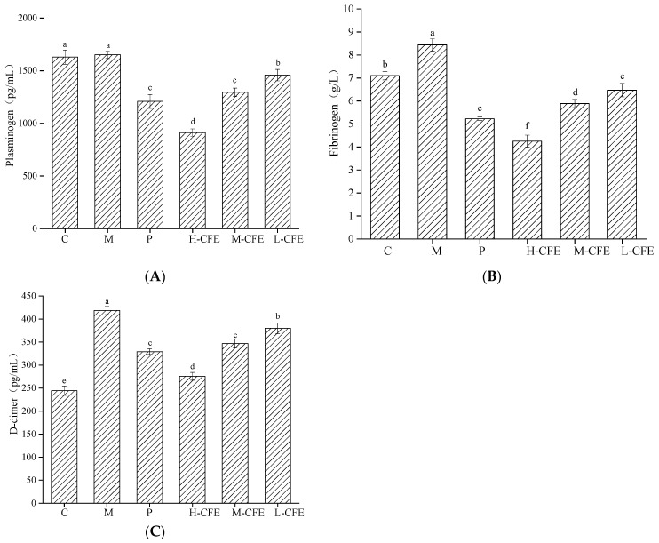
Fibrinolysis-promoting effect of CFE on zebrafish. (A) Concentration of plasminogen; (B) Concentration of fibrinogen; (C) Concentration of D-dimer. C represents the Control group; M represents the Thrombus model group; P represents the Positive control group; L-CFE represents the Low-dose CFE group; M-CFE represents the Medium-dose CFE group; H-CFE represents the High-dose CFE group. Different lowercase letters indicate statistically significant differences between groups (p < 0.05) as determined by multiple comparison tests.

Acknowledgments
This image is the copyrighted work of the attributed author or publisher, and ZFIN has permission only to display this image to its users. Additional permissions should be obtained from the applicable author or publisher of the image. Full text @ Nutrients