IMAGE

Fig. 1

ID
ZDB-IMAGE-250728-74
Source
Figures for Gregory-Evans et al., 2025
Image
Figure Caption

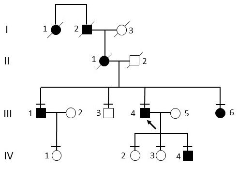
Fig. 1 Four-generation family tree segregating autosomal dominant hearing loss and RP. The black symbols represent affected individuals and white symbols represent unaffected individuals. The arrow indicates the proband patient. The line above the symbols denotes family members who were examined. The first two generations were reported by proband as deaf-blind but were not examined or genetically tested.

Acknowledgments
This image is the copyrighted work of the attributed author or publisher, and ZFIN has permission only to display this image to its users. Additional permissions should be obtained from the applicable author or publisher of the image.