IMAGE

Fig. 5

ID
ZDB-IMAGE-250728-135
Source
Figures for Jiang et al., 2025
Image
Figure Caption

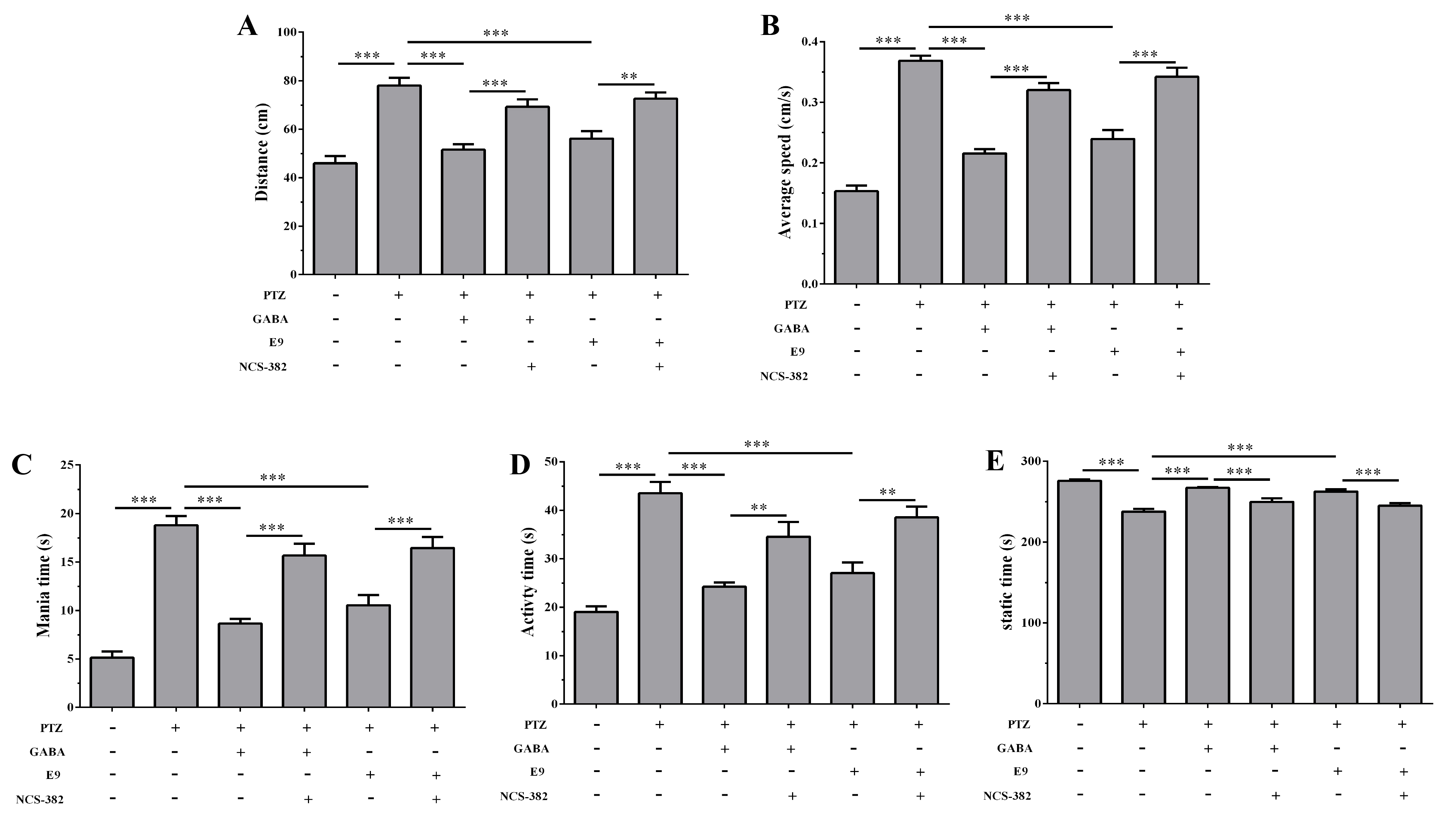
Fig. 5 Behavioral analysis of the inhibitory effect of GABA receptor antagonist NCS-382 on the anxiolytic activity of E9 in zebrafish with PTZ-induced anxiety. (A) Total swimming distance. (B) Average swimming speed. (C) Mania time. (D) Activity time. (E) Static time(s). Data are presented as mean ± SEM (n = 24/group). **p < 0.01; ***p < 0.001. Behavioral tracking was performed using EthoVision XT software (Noldus).

Acknowledgments
This image is the copyrighted work of the attributed author or publisher, and ZFIN has permission only to display this image to its users. Additional permissions should be obtained from the applicable author or publisher of the image. Full text @ Front Biosci (Landmark Ed)