FIGURE SUMMARY
Title

Lactobacillus reuteri E9 Regulates Sleep Disorders Through Its Metabolite GABA

Authors
Jiang, Y., Guo, L., He, H., Chen, H., Chen, T., Liu, Y., Zhao, W.
Source
Full text @ Front Biosci (Landmark Ed)

Effects of Lactobacillus reuteri E9 on inhibitory neurotransmitter levels in zebrafish. (A) γ -Aminobutyric acid (GABA), (B) 5-hydroxytryptamine (5-HT), (C) Taurine, (D) Glycine, and (E) Serine levels in zebrafish after 7, 14, and 21 days of E9 treatment. Data are presented as mean ± SEM (n = 10 per group). Experimental group was treated with E9 at 106 CFU/mL versus control group. ns denotes no significant difference and * represents p < 0.05, **: p < 0.01.

Behavioral analysis of PTZ-induced anxiety in zebrafish treated with Lactobacillus reuteri E9. (A) Representative tail movement trajectories. (B) Average tail swing angular velocity and (C) average tail swing angle of zebrafish in control, PTZ-induced model, GABA-treated, and E9-treated groups. Data are mean ± SEM (n = 15 per group). ## indicates a significant difference between the normal and model groups (p < 0.01). * indicates a comparison between the sample group and the model group, with * representing p < 0.05, and ** representing p < 0.01. GABA-treated as positive control (500 µM). PTZ (7.5 mM, 20 min) induced hyperactivity, while E9 (1% v/v, 1 h pre-treatment) reversed these effects. Behavioral tracking was performed using EthoVision XT software (Noldus).

Lactobacillus reuteri E9 suppresses PTZ-induced neuronal hyperactivity in zebrafish brains. Zebrafish in (A) normal (control group), (B) PTZ-induced model (model group), (C) GABA-treated (positive group), and E9-ttreated with different concentrations (expriment groups): (D) 1 × 104 CFU/mL, (E) 1 × 105 CFU/mL and (F) 1 × 106 CFU/mL. The left part show fluorescence images of brain activity in Tg(Elavl3:H2B-GCaMP6f) zebrafish (blue: baseline activity; yellow: PTZ-induced hyperactivity). The right part present quantification of brain discharge area (normalized to control). Data are mean ± SEM (n = 8 per group). E9 treatment (1% v/v, 7 days) significantly reduced PTZ-induced neuronal excitation. Imaging parameters: 20 × objective, 488 nm excitation.

Lactobacillus reuteri E9 upregulates GABA and melatonin receptor gene expression in zebrafish. Relative mRNA levels of (A) GABA receptor and (B) melatonin receptor 1aa (Mtnr1aa) in zebrafish brains. Data are normalized to β -actin and presented as fold change (mean ± SEM, n = 12 per group). # indicates a comparison between the normal group and the model group with # representing p < 0.05, * indicates a comparison between the sample group and the model group, with * representing p < 0.05, ** representing p < 0.01, and *** representing p < 0.001. Gene expression analysis was performed via qPCR.

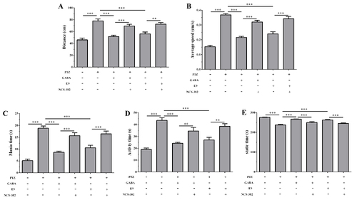
Behavioral analysis of the inhibitory effect of GABA receptor antagonist NCS-382 on the anxiolytic activity of E9 in zebrafish with PTZ-induced anxiety. (A) Total swimming distance. (B) Average swimming speed. (C) Mania time. (D) Activity time. (E) Static time(s). Data are presented as mean ± SEM (n = 24/group). **p < 0.01; ***p < 0.001. Behavioral tracking was performed using EthoVision XT software (Noldus).

Acknowledgments
This image is the copyrighted work of the attributed author or publisher, and ZFIN has permission only to display this image to its users. Additional permissions should be obtained from the applicable author or publisher of the image. Full text @ Front Biosci (Landmark Ed)