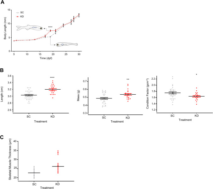
Growth in juvenile Zebrafish and adult size and skeletal muscle thickness at 18 months. (A) Mean total body length of SC and KD zebrafish up to 30 dpf. Following the embryonic growth spurt, KD zebrafish experienced an additional period of rapid growth between 15 and 20 dpf (unpaired t-test, **** p < 0.0001). Typical morphology for body length at 18 dpf is included for reference. (B) Individual total body length (left panel), mass (middle panel), and condition factor scores (right panel) for 18-month KD and SC zebrafish (n = 21–24). Length and mass were significantly higher in the KD (unpaired t-test, **** p < 0.0001, ** p = 0.005), while condition factor was significantly lower (* p = 0.02), indicating KD zebrafish have leaner bodies. (C) Thickness of 10 skeletal muscle fibres per fish (n = 5) stained with Masson’s Trichrome. Fibre thickness was marginally higher in KD compared to SC zebrafish (repeated measure ANOVA, p = 0.06). Data are presented as overall group mean and as mean ± SEM for each fish
Acknowledgments
This image is the copyrighted work of the attributed author or publisher, and
ZFIN has permission only to display this image to its users.
Additional permissions should be obtained from the applicable author or publisher of the image.
Full text @ Cell. Mol. Life Sci.
Your Input Welcome
Thank you for submitting comments. Your input has been emailed to ZFIN curators who may contact you if
additional information is required.
Oops. Something went wrong. Please try again later.