IMAGE

Figure 5

ID
ZDB-IMAGE-250215-68
Source
Figures for Gu et al., 2025
Image
Figure Caption

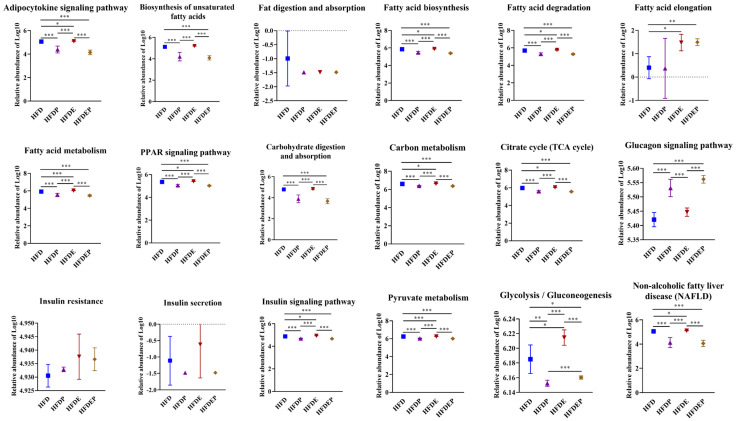
Figure 5

Gut microbial functional change by different intervention modes. Comparison of biological processes associated with glucose and fatty acid metabolism in different groups based on log10 of KEGG pathway abundances at level 3 using PICRUSt2. Values are the mean ± SD. * p < 0.05, ** p < 0.01, *** p < 0.001 vs. control.

Acknowledgments
This image is the copyrighted work of the attributed author or publisher, and ZFIN has permission only to display this image to its users. Additional permissions should be obtained from the applicable author or publisher of the image. Full text @ Int. J. Mol. Sci.