IMAGE

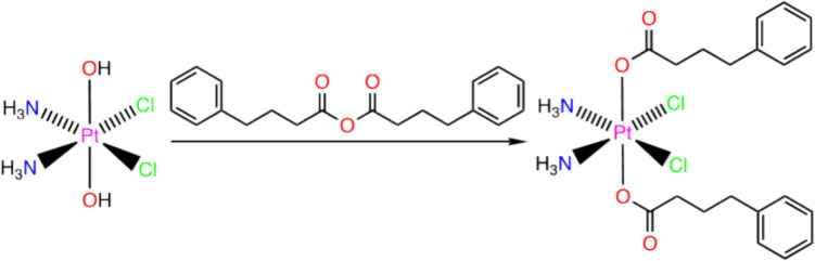
Fig. 1

ID
ZDB-IMAGE-241209-11
Source
Figures for Begum et al., 2024
Image
Figure Caption

Fig. 1

Synthesis schema of cis, cis, trans-[Pt(NH3)2Cl2(PBA)2] [Compound B] Addition of 4-phenylbutanoic anhydride reagent to cis, cis, trans-[Pt(NH3)2Cl2(OH)2] results in the substitution of PBA HDAC inhibitor ligands for the hydroxides on cis, cis, trans-[Pt(NH3)2Cl2(OH)2]. See Supplementary Fig. S1 and S2 for NMR and HR-ESI-MS validation

Acknowledgments
This image is the copyrighted work of the attributed author or publisher, and ZFIN has permission only to display this image to its users. Additional permissions should be obtained from the applicable author or publisher of the image. Full text @ Invest New Drugs