IMAGE

Figure 2

ID
ZDB-IMAGE-211002-32
Source
Figures for Selvaraju et al., 2021
Image
Figure Caption

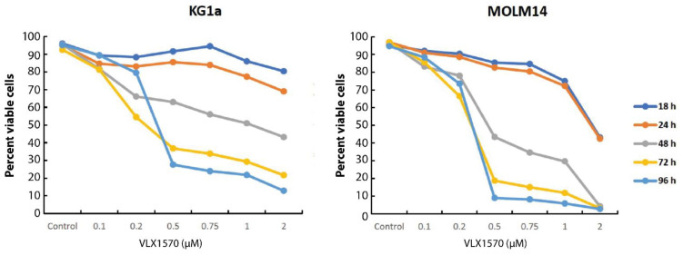
Figure 2 Figure 2. Time- and dose-dependent loss of viability of MOLM-14 and KG1a cells exposed to VLX1570. Cell viability was determined using acridine orange/propidium iodide staining.

Acknowledgments
This image is the copyrighted work of the attributed author or publisher, and ZFIN has permission only to display this image to its users. Additional permissions should be obtained from the applicable author or publisher of the image. Full text @ Biomolecules