IMAGE

Figure 4

ID
ZDB-IMAGE-210717-5
Source
Figures for Demin et al., 2021
Image
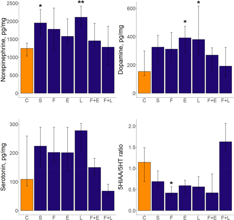
Figure Caption

Figure 4 Neurochemical alterations induced by the prolonged chronic unpredictable stress (PCUS) exposure and fluoxetine, EPA, or LPS treatment in adult zebrafish brain assessed using HPLC. Data are presented as median and Q1, Q3 (n = 12 per group). *p < 0.05, **p < 0.01 vs. control, post-hoc Dunn’s test for significant Kruskal–Wallis data. Graphs were constructed using the ggplot2 R package30, also see Table 2 and Supplementary Table S2 for statistical details. Groups: C control, S PCUS, F fluoxetine, E eicosapentaenoic acid (EPA), L lipopolysaccharide (LPS).

Acknowledgments
This image is the copyrighted work of the attributed author or publisher, and ZFIN has permission only to display this image to its users. Additional permissions should be obtained from the applicable author or publisher of the image. Full text @ Sci. Rep.