Image
Figure Caption

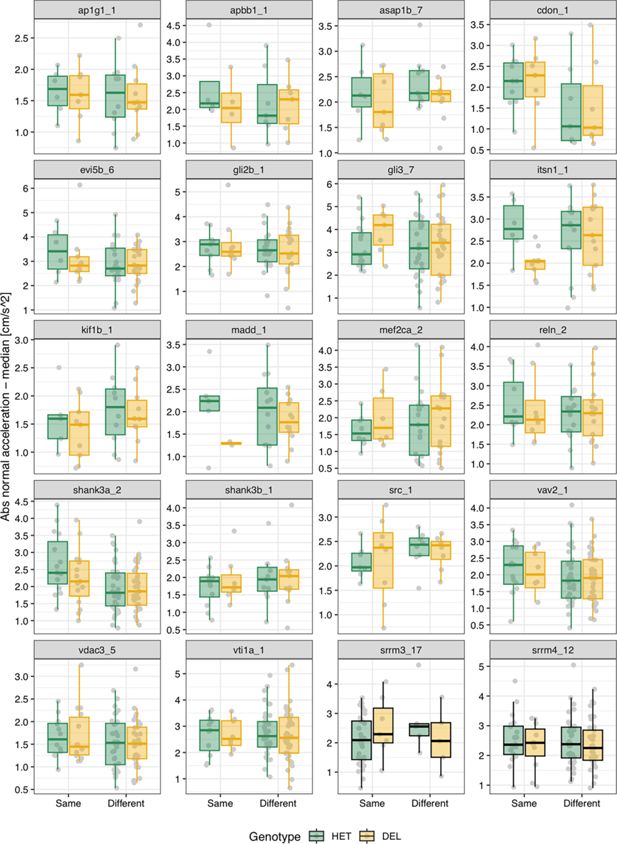
Fig. 5 - Supplemental 3 Median absolute normal acceleration by genotype for each main microexon and regulator line. (A) Median absolute normal acceleration (cm/s2) for each fish over the 10' time course by pair type. ‘Same’ corresponds to either Het-Het or Del-Del pairs, and each data point is the median of the pair, and ‘Different’ to Het-Del pairs and each data point corresponds to an individual fish. None of the comparisons between Het and Del individuals were significant at a threshold of p<0.01 using Wilcoxon Rank-Sum tests.

Acknowledgments
This image is the copyrighted work of the attributed author or publisher, and ZFIN has permission only to display this image to its users. Additional permissions should be obtained from the applicable author or publisher of the image. Full text @ Elife