IMAGE

Figure 19

ID
ZDB-IMAGE-250228-12
Source
Figures for Didloff et al., 2025
Image
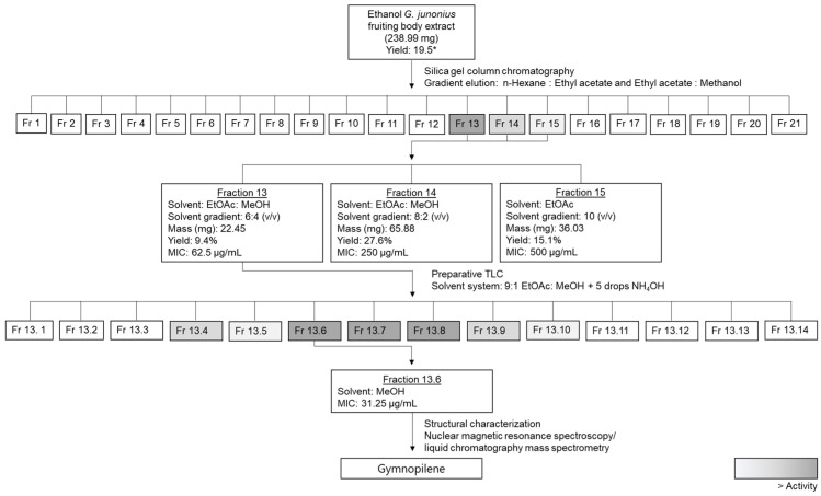
Figure Caption

Figure 19

Biological-activity-guided fractionation scheme to isolate the antimycobacterial compound(s) from a G. junonius ethanol extract, highlighting the fractions with activity. Masses are representative of an individual isolation procedure. * Percentage yield reported by Boukes et al. [16].

Acknowledgments
This image is the copyrighted work of the attributed author or publisher, and ZFIN has permission only to display this image to its users. Additional permissions should be obtained from the applicable author or publisher of the image. Full text @ Antibiotics (Basel)