IMAGE

Fig. 9

ID
ZDB-IMAGE-240903-121
Source
Figures for Song et al., 2024
Image
Figure Caption

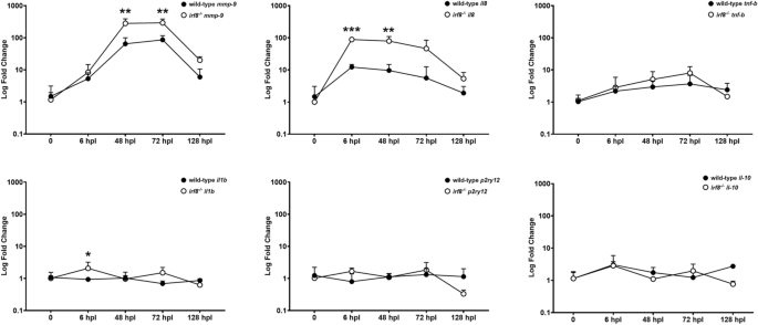
Fig. 9 Dynamics of inflammatory signaling following light damage in 6 mpf irf8 mutants and wild-type siblings. The change in gene expression of inflammatory genes following light damage is plotted as a function of time after damage to wild-type or irf8 mutants. Expression is represented as the log fold change calculated using the ddCt method and compared against gene expression in undamaged retinas. ***p < 0.0005; **p < 0.01; *p < 0.05.

Acknowledgments
This image is the copyrighted work of the attributed author or publisher, and ZFIN has permission only to display this image to its users. Additional permissions should be obtained from the applicable author or publisher of the image. Full text @ Sci. Rep.