IMAGE

Fig. 2

ID
ZDB-IMAGE-220705-33
Source
Figures for Chen et al., 2022
Image
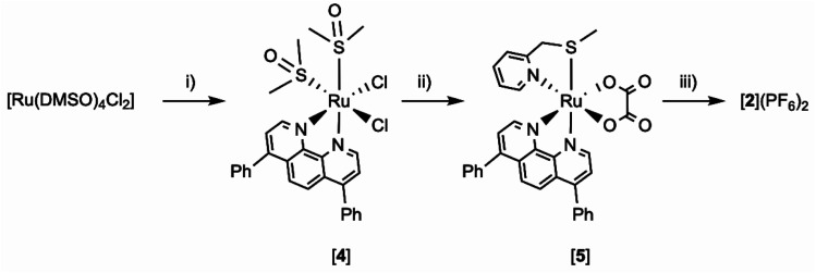
Figure Caption

Fig. 2 Synthesis of tris-heteroleptic compound [Ru(dpp)(bpy)(mtmp)](PF6)2 ([2](PF6)2). Conditions: (i) 1.0 eq. dpp, EtOH, reflux 2 h, Y = 51%. (ii) (a) 1.5 eq. Na2C2O4; water, reflux 1 h; (b) 1.0 eq. mtmp, ethylene glycol, reflux 3 h; (c) water; Y = 71%. (iii) (a) 1 M HClO4(aq)/CH3CN 1 : 1, reflux 1 h, (b) 1.0 eq. bpy, ethylene glycol, 100 °C, 6 h; (3) aqueous KPF6; Y = 28%.

Acknowledgments
This image is the copyrighted work of the attributed author or publisher, and ZFIN has permission only to display this image to its users. Additional permissions should be obtained from the applicable author or publisher of the image. Full text @ Chem Sci