IMAGE

Fig. 6

ID
ZDB-IMAGE-210224-74
Source
Figures for Honjo et al., 2020
Image
Figure Caption

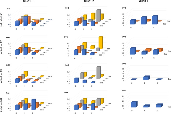
Fig. 6 Fig. 6. Relative expression levels of all MHC1 genes in the four individuals of the WIK strain. Relative expression levels of all MHC1 genes in gills (G), intestine (I), and kidneys (K) of the four individuals. The expression levels of each gene depend on the tissues and individuals. Although most genes are ubiquitously expressed in the gills of all individuals, the expression levels of most genes in other tissues are highly variable.

Acknowledgments
This image is the copyrighted work of the attributed author or publisher, and ZFIN has permission only to display this image to its users. Additional permissions should be obtained from the applicable author or publisher of the image. Full text @ Dev. Comp. Immunol.