IMAGE

Figure 1

ID
ZDB-IMAGE-200811-31
Source
Figures for Brinza et al., 2020
Image
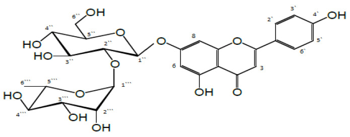
Figure Caption

Figure 1

Chemical structure of rhoifolin (apigenin 7-O-β neohesperidoside).

Acknowledgments
This image is the copyrighted work of the attributed author or publisher, and ZFIN has permission only to display this image to its users. Additional permissions should be obtained from the applicable author or publisher of the image. Full text @ Antioxidants (Basel)