IMAGE

Fig. 2

ID
ZDB-IMAGE-120316-58
Source
Figures for Tainaka et al., 2011
Image
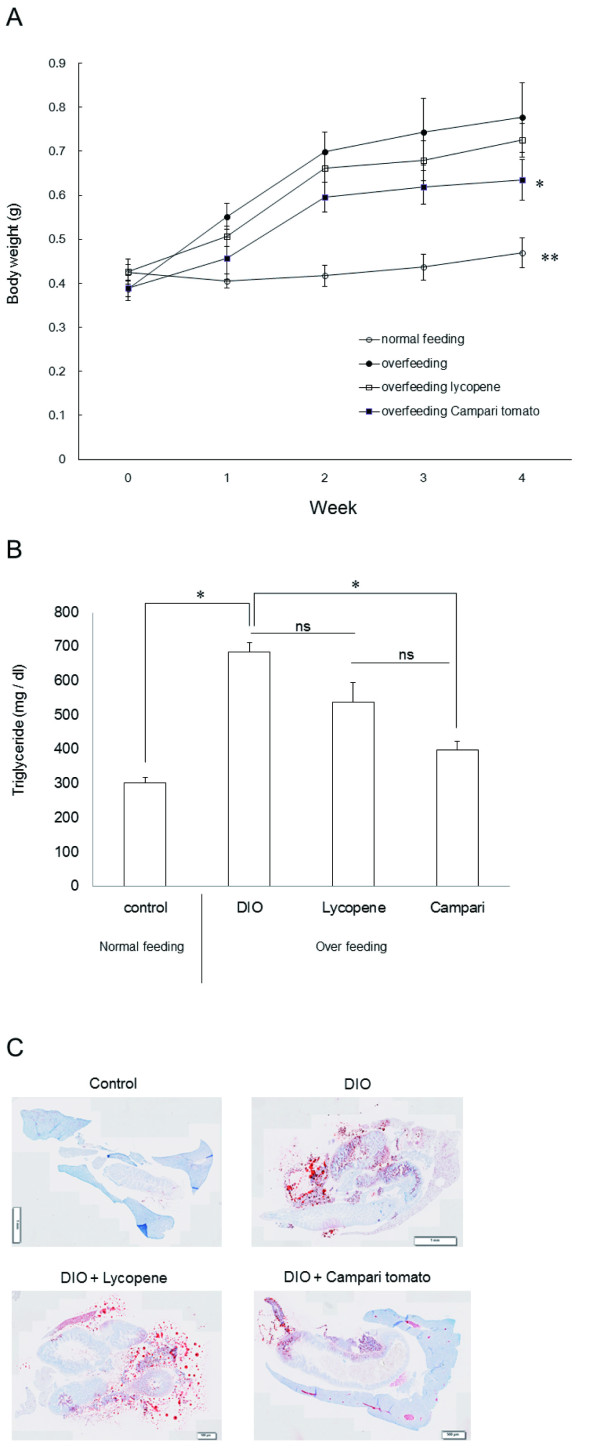
Figure Caption

Fig. 2 Lycopene effects on body weight, plasma TG, and hepatic steatosis in DIO-zebrafish. (A) Average body weight in each group during 4-week feeding experiments. Values are mean ± SD. Each group contained 20 samples. *P < 0.05; **P < 0.01 vs. vehicle with overfeeding, black circles. (B) Change of plasma TG levels in each group. *P < 0.05 vs. vehicle with overfeeding. (C) Oil red O staining of liver sections.

Acknowledgments
This image is the copyrighted work of the attributed author or publisher, and ZFIN has permission only to display this image to its users. Additional permissions should be obtained from the applicable author or publisher of the image. Full text @ Nutr. Metab. (Lond).